
均速管是在皮托管测速原理的基础上发展而来的,由于压损小、制造成本低、安装维护方便,各国都有广泛适用。
联系人:沈经理
手 机:18915197116
地 址:江苏省淮安市金湖县环城西路288号
网 址:www.jsemlg.com
均速管亦称阿牛巴、笛管。均速管是在皮托管测速原理的基础上发展而来的,由于压损小、制造成本低、安装维护方便,各国都有广泛适用。
工作原理
均速管的测量原理是将整个圆截面分成多个单元面积相等的圆环(中间为圆)。均速管的检测杆是一根中空的金属管。
适用范围
1、公称直径:25mm≤DN≤6000mm
2、公称压力:PN≤25MPa
3、介质温度:t≤650℃
4、精度等级:1级,1.5级,2.5级
结构形式
均速管是检测杆、取压口和导杆组成,它横穿管道内部与管轴垂直,在检测杆迎流面上设有多个总压检测孔,分别由总压导压管和静压导压管引出,根据总压与静压的差压值,计算流经管道流量。检测杆的截面形状见下图:

理论基础
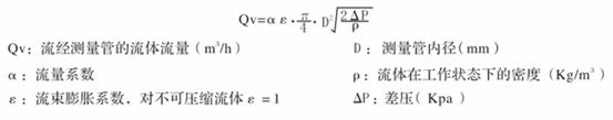
均速管流量计是基于皮托管测速原理上发展起来的,它是通过管道的平均流速及管道的有效截面积的乘积来确定流量的。
它的流量计算公式为:

几种安装方式

安装要求
1、安装检测杆的测量段应是直的,其上下游直管段长度参照下表所规定的长度。 序号上游侧局部阻力件形式上游侧下
| 序号 | 上游侧局部阻力件形式 | 上游侧 | 下游侧 | ||
| 无整流器 | 有整流器 | ||||
| 与检测杆在同一平面内 | 与检测杆不在同一平面内 | ||||
| 1 | 有一个90°弯头或三通 | 7D | 9D | 6D | 3D |
| 2 | 在同一平面内有两个90°弯头 * * | 9D | 14D | 8D | 3D |
| 3 | 在不同一平面内有两个90°弯头 * * | 19D | 24D | 9D | 4D |
| 4 | 管道直径改变(收或扩) | 8D | 8D | 8D | 3D |
| 5 | 部分开启的闸阀、球阀或其它节流阀 | 24D | 24D | 9D | 4D |
注:*D为管道标称直径,所给出数据为距离第二个弯头的长度。
2、检测杆插入位置的角度允许偏差范围见图五。
3、对于垂直管道,检测杆可安装在管道水平面沿管道圆周360°的任何位置上,高低压引压管接头应处于同一水平面上。对于水平管道,在测量液体时检测杆插入位置应位于管道横截面水平面中心线45°以下的范围内;测量气体时检测杆插入位置应位于管道横截面水平面中心线45°以上的范围内;测量蒸汽时检测杆应水平插入,见图六:
4、管道上开孔尺寸Φ40。
5、补偿用压力变送器在前直管段上,温度变送器(或铂电阻)装在后直管段上距离节流装置2D处。

型谱规格及说明
| 型号规格 | 说明 | ||||||
| JNDP-ANB | 阿牛巴 | ||||||
| 取压方式 | G | 管接取压 | |||||
| 连接方式 | 1 | 法兰连接 | |||||
| 2 | 直接焊接 | ||||||
| 管道规格 | 0040 | 0040代表DN40 | |||||
| 管道材质 | C | 碳钢 | |||||
| P | 不锈钢 | ||||||
| H | 合金钢 | ||||||
| 公称压力 | 025 | 0.25MPa | |||||
| 06 | 0.6MPa | ||||||
| 10 | 1MPa | ||||||
| … | …… | ||||||
| 160 | 16MPa | ||||||